What is Calibration
Calibration is a process of documenting and adjusting the reading of measurement instruments
Sound measurement is one of the measurements which is considered to be important in a lot of different industries. For example, automotive, manufacture, HSE, research and so on. One of the aspect that is important for all measurements are its calibration. Calibration is a process of documenting and adjusting the reading of measurement instruments with a traceable reference.
The frequency range of acoustic measurement in air is wide, from infrasound to ultrasound. From tenth hertz to 200 kHz. It is measured in a wide range of dynamic range too, from 20 micropascal to 20 kilopascal. Therefore, to be able to conduct these measurements in a wide range of frequency and dynamic, different kinds of microphone is used.
Most measurement microphones and reference microphones is condenser microphone. This type of microphone is widely chosen because of its flat frequency response and a good mechanical stability. The standard used for measurement microphone is IEC61094-4 which is called working standard microphones, abbreviated WS. WS microphones are categorized into 3 types based on its diameter which are 23.77 mm, 12.7 mm and 6.35 mm. These three microphones are called WS1, WS2 and WS3 respectively.
Another standard is used for Laboratory Standard Microphone, abbreviated LS, which is IEC61094-1. Similarly to WS, LS can be categorized by its diameter, which are LS1 with 23.77 mm and LS2 with 12.7 mm diameter. LS microphone is designed so that it can be fitted into calibration coupler and is normally used by national metrology institute as a national reference in a country. Both of the standards mentioned above specify dimension, sensitivity, frequency response, acoustic impedance, dynamic range, ambient influence and stability.
Condenser microphone is a reciprocal transducer. This microphone can work as a microphone by converting acoustic signal into electric, as well as working as a sound source by converting electrical input into acoustic output. This is why condenser microphones can be calibrated by a calibration method called reciprocity.
Before we discuss further about the calibration method, it is useful to discuss about sound field and the type of microphone used to measure in such fields. There are three types of sound field in general. In a cavity which dimension is smaller than a quarter of the measured wavelength, the soiund field is called pressure-field. This field happens in a calibration coupler for microphone calibration, telephone and hearing aids, for example. Sound field in an anechoic chamber or outdoor where sound can propagate without obstacles is called free-field. While sound field in a reflective room is called diffuse-field.
All types of microphones can influence the sound field which is being measured, including condenser microphone. Microphones that are used in cavities should have a stiff diaphragm, or in another word has a high acoustic impedance. For free-field condition, microphones that are chosen ideally has a diameter less than 5-7% from the wavelength of the sound being measured. In practice, this rarely happens, so that the influence has to be taken into account in the measurement results. Similar situation happens in diffuse-field, although the influence is relatively smaller.
Note that the influence in the free-field and diffuse-field depends only on the dimension of the microphone’s body. Because of this reason, the influence only have to be measured once for the same microphone model. After the influence is defined, it can be applied to all the same microphone of the same model.
Let’s go back to reciprocity calibration. This method was invented in the 1940s. This method has been developed and standardised which makes the method one of the most widely used calibration techniques to determine microphone’s response in pressure-field and free-field. The calibration method is based on transfer function of two microphones which are coupled as microphone and sound source.
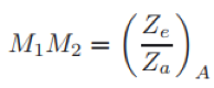
The two microphones are coupled in a well-defined acoustic environment. The transfer function which is the ratio between output voltage of the sensor and input current of the source is measured. This ratio is called electrical transfer impedance (Ze). Furthermore, by knowing the acoustic transfer impedance (Za), the product of the sensitivity of the two microphones can be defined by this equation.

Where M1 and M2 is the sensitivity of microphone 1 and microphone 2, Ze/Za is the ratio between electric and acoustic transfer impedance.
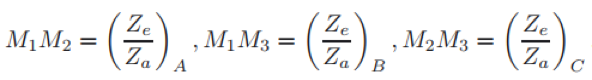
By using three microphones (1,2,3) and defining three impedance ratio equations (A,B,C) for three possible combinations (1-2, 1-3, 2-3), the sensitivity of three microphones can be calculated by solving these three equations.

Some national metrology institutes are doing reciprocity calibration for laboratory standard microphones. The frequency ranges from 20Hz to 10kHz for LS1 and 20Hz to 20kHz for LS2. Some of the institutes have experience in calibrating lower or higher frequency range.

